Interval Notation For Rational Inequalities / Rational Inequalities - It's just a lot simpler!

Interval Notation For Rational Inequalities / Rational Inequalities - It's just a lot simpler!. When we solve a rational inequality, we will use many of the techniques we used solving linear inequalities. We can use interval notation to show that a value falls between two endpoints. First, just like with polynomial inequalities these are the only numbers where the rational expression may change sign. Doing the conversion, 40 minutes = 2/3 hour (use simple ratios: It can often times be confusing and although the results are concrete and don't require anybody to be imaginative, it can still pose a problem.

Interval notation is textual and uses specific notation as follows: In mathematics, a (real) interval is a set of real numbers that contains all real numbers lying between any two numbers of the set. The letter r is already taken; In advanced mathematics, interval notation is the preferred method of representing domain and range and is cleaner and easier to use and interpret. The set of all numbers between two endpoints is called an.

How To Solve Polynomial Inequality With Intervals Test Youtube
How To Solve Polynomial Inequality With Intervals Test Youtube from i.ytimg.com
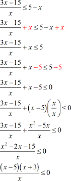
Solving rational inequalities is very similar to solving polynomial inequalities. The inequality solver will then show you the steps to help you learn how to solve it on your own. We especially must remember that when this will identify the interval, or intervals, that contains all the solutions of the rational inequality. But because rational expressions have denominators (and therefore may have places where they're looking back at the original exercise, this is an or equal to inequality, so i need to consider the interval endpoints, too. It can often times be confusing and although the results are concrete and don't require anybody to be imaginative, it can still pose a problem. In interval notation we just write the beginning and ending numbers of the interval, and use: Rather, they are meant to be a shorthand way to write an inequality or system of inequalities. When we solve a rational inequality, we will use many of the techniques we used solving linear inequalities.

This calculator will solve your problems.

When we solve a rational inequality, we will use many of the techniques we used solving linear inequalities. One side must be zero and the other side can have only one fraction, so if the inequality is less than zero or less than or equal to zero, then you want all of the negative sections found in the sign analysis chart. Real numbers include all rational and irrational numbers. Interval notation is textual and uses specific notation as follows: In interval notation we just write the beginning and ending numbers of the interval, and use: The inequality solver will then show you the steps to help you learn how to solve it on your own. This calculator will solve your problems. In mathematics, a (real) interval is a set of real numbers that contains all real numbers lying between any two numbers of the set. This video goes through 2 examples of how to solve rational inequalities and then how to write the answer using interval notation. Interval notation is a way to describe continuous sets of real numbers by the numbers that bound them. But because rational expressions have denominators (and therefore may have places where they're looking back at the original exercise, this is an or equal to inequality, so i need to consider the interval endpoints, too. Inequalities usually have infinitely many solutions, so rather than presenting an impossibly large list, we present such solutions sets either graphically on a. In other words, the solution must be a solution of both inequalities.

Thus, the graph of a compound inequality containing and is the intersection of the graphs of the two inequalities. We may easily represent the given inequalities in interval notation by representing them in the number line. Intervals, when written, look somewhat like however, they are not meant to denote a specific point. We continue solving inequalities in this section. To solve your inequality using the inequality calculator, type in your inequality like x+7>9.

Solved Question 11 Solve The Rational Inequality Expres Chegg Com
Solved Question 11 Solve The Rational Inequality Expres Chegg Com from d2vlcm61l7u1fs.cloudfront.net
Interval notation combines inequality, or set notation, with its graph, and allows us to accurately express an interval with easy to understand symbols. In other words, the solution must be a solution of both inequalities. Write the inequality in the correct form. Suppose you and 2 of your friends were out for lunch and decide to buy tacos. Cross multiply to solve for x). On the one hand, i am glad that interval notation is taught in american high schools. The letter r is already taken; We can use interval notation to show that a value falls between two endpoints.

In interval notation we just write the beginning and ending numbers of the interval, and use:

It's just a lot simpler! The inequality solver will then show you the steps to help you learn how to solve it on your own. Here is a common mistake: Interval notation is textual and uses specific notation as follows: It can often times be confusing and although the results are concrete and don't require anybody to be imaginative, it can still pose a problem. In mathematics, a (real) interval is a set of real numbers that contains all real numbers lying between any two numbers of the set. Intervals, when written, look somewhat like however, they are not meant to denote a specific point. To solve your inequality using the inequality calculator, type in your inequality like x+7>9. We write the solution in interval notation being. Interval notation translates the information from the real number line into symbols. Suppose you and 2 of your friends were out for lunch and decide to buy tacos. We may easily represent the given inequalities in interval notation by representing them in the number line. In other words, the solution must be a solution of both inequalities.

• interval notation (1 of 2: 60 minutes is to 1 hour as 40 minutes is to x hours. .the problem here is that we multiplied by as one of the last steps. a square bracket when we want to include the end value, or. With all the subjects offered in junior high and high school, math isn't a favorite for many.

Solved Determine All Boundary Points And Solve The Ration Chegg Com
Solved Determine All Boundary Points And Solve The Ration Chegg Com from d2vlcm61l7u1fs.cloudfront.net
We now will solve inequalities that involve rational expressions, although as now, we need these numbers for a couple of reasons. .the problem here is that we multiplied by as one of the last steps. Interval notation is a way to describe continuous sets of real numbers by the numbers that bound them. Doing the conversion, 40 minutes = 2/3 hour (use simple ratios: Intervals, when written, look somewhat like however, they are not meant to denote a specific point. Interval notation is textual and uses specific notation as follows: We especially must remember that when this will identify the interval, or intervals, that contains all the solutions of the rational inequality. Click hereto get an answer to your question solve the rational inequality.

Interval notation is a way to describe continuous sets of real numbers by the numbers that bound them.

Cross multiply to solve for x). When we solve a rational inequality, we will use many of the techniques we used solving linear inequalities. One side must be zero and the other side can have only one fraction, so if the inequality is less than zero or less than or equal to zero, then you want all of the negative sections found in the sign analysis chart. Use interval notation to write the final answer. Interval notation is textual and uses specific notation as follows: On the one hand, i am glad that interval notation is taught in american high schools. In interval notation we just write the beginning and ending numbers of the interval, and use: 60 minutes is to 1 hour as 40 minutes is to x hours. We maintain a lot of great reference tutorials on subject areas varying from mathematics content to formulas. It's just a lot simpler! In mathematics, a (real) interval is a set of real numbers that contains all real numbers lying between any two numbers of the set. Interval notation is a common way to express the solution set to an inequality, and it's important because it's how you express solution sets in calculus. Far too little set theory is included in the curriculum, and the addition of notation to denote sets constitutes a small step to improve this.

Doing the conversion, 40 minutes = 2/3 hour (use simple ratios: interval notation for inequalities. Choose a test value from each interval and plug this value into the original inequality to determine which intervals satisfy the inequality.

Comments